Série de pagamentos I

Introdução

Série de pagamentos - é um conjunto de pagamentos de valores R1, R2, R3, ... Rn, distribuídos ao longo do tempo correspondente a n períodos, podendo esses pagamentos serem de valores constantes ou de valores distintos. O conjunto de pagamentos (ou recebimentos) ao longo dos n períodos, constitui - se num fluxo de caixa. Vamos resolver a seguir, os problemas nos quais
R1 = R2 = R3 = ... Rn = R, ou seja: pagamentos (ou recebimentos) iguais.

Quando a série de pagamentos (ou recebimentos) se inicia um período após a data zero, o fluxo recebe o nome de POSTECIPADO. Quando o início dos pagamentos ou recebimentos ocorre na data zero, o fluxo recebe o nome de ANTECIPADO.

Exemplos:

1 - Pagamentos no início dos períodos: Fluxo ANTECIPADO (BEGIN)

2 - Pagamentos no final dos períodos: Fluxo POSTECIPADO (END).

Na calculadora HP12C, o modo normal de operação é na posição g END ou seja fluxo postecipado. Para as seqüências antecipadas, deveremos teclar g BEG  (BEG de begin = início). Caso não seja feita nenhuma referencia , devemos considerar sempre que o fluxo é postecipado.

Fator de acumulação de capital - FAC

O problema a resolver é o seguinte:

Determinar a quantia S acumulada a partir de uma série uniforme de pagamentos iguais a R, sendo i a taxa de juros por período.
Vamos considerar dois casos: fluxo postecipado e fluxo antecipado.

NOTA: na calculadora HP12C, R é expressa pela tecla PMT (pagamentos periódicos). Portanto R e PMT possuem o mesmo sentido, ou seja, a mesma interpretação. Da mesma forma, S corresponde a FV na calculadora HP 12C.

A) Fluxo postecipado

Considere o fluxo de caixa postecipado a seguir, ou seja: os pagamentos são feitos nos finais dos períodos.

Vamos transportar cada valor R para o tempo n, supondo que a taxa de juros é igual a i , lembrando que trata-se de um fluxo de caixa POSTECIPADO, ou seja, os pagamentos são realizados no final de cada período.

Teremos:
S = R(1+i)n-1 + R(1+i)n-2 + R(1+i)n-3 + ... + R(1+i) + R
Colocando R em evidencia, teremos:
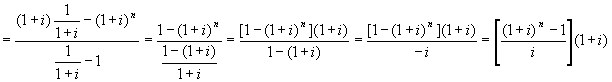
S = R[(1+i)n-1 + (1+i)n-2 + (1+i)n-3 + ... + (1+i) + 1]
Observe que a expressão entre colchetes, é a soma dos n primeiros termos de uma progressão geométrica de primeiro termo (1+i)n-1, último termo 1 e razão 1/(1+i).
Aplicando a fórmula da soma dos n primeiros termos de uma progressão geométrica, teremos:
Nota: em caso de dúvida, consulte o arquivo Progressão Geométrica.

(1+i)n-1 + (1+i)n-2 + (1+i)n-3 + ... + (1+i) + 1 =

Substituindo o valor encontrado acima, vem finalmente que:

• o fator entre colchetes é denominado Fator de acumulação de capital - FAC(i,n).
• assim, teremos: S = R . FAC(i,n). Os valores de FAC(i,n) são tabelados. Na prática, utilizam-se as calculadoras científicas ou financeiras, ao invés das tabelas.

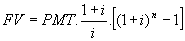
Usando-se a simbologia adotada na calculadora HP 12C, onde R = PMT e S = FV, teremos a fórmula a seguir:

Exemplo:

Aplicando-se $200,00 por mês num Fundo de Renda Fixa a uma taxa mensal de 5%, pede-se calcular o montante ao final de 10 anos, considerando-se que as aplicações são feitas no final dos períodos.

Solução:
Aplicando-se diretamente a fórmula vista anteriormente, vem:
S = 200[(1+ 0,05)120 – 1] / 0,05 = $ 1.391.647,94
Observe que 120 = 10 anos x 12 meses.

Usando a calculadora financeira HP 12C, teríamos:
200
CHS
PMT
5
i
120
n
FV
Aparecerá no visor, o valor calculado acima.

B) Fluxo antecipado

Dando continuidade, vamos supor agora que o fluxo de caixa fosse ANTECIPADO, ou seja, com os pagamentos periódicos realizados no início dos períodos.

Nestas condições, teríamos, transportando todos os pagamentos periódicos para o período n:
S = R(1 + i)n + R(1 + i)n-1 + ... + R(1 + i)

Colocando R em evidencia, teremos:
S = R[(1 + i)n + (1 + i)n-1 + ... + (1 + i)]

Observe que a expressão entre colchetes, é a soma dos n primeiros termos de uma progressão geométrica – PG, de primeiro termo (1+i)n , último termo 1+ i e razão 1/(1+i).

Aplicando a fórmula da soma dos n primeiros termos de uma PG, teremos:

(1 + i)n + (1 + i)n-1 + ... + (1 + i) =

Substituindo o valor encontrado acima, encontraremos finalmente:

Observe que a fórmula acima (para pagamentos antecipados), difere da anterior (pagamentos postecipados), pelo aparecimento do fator (1 + i). Quando colocamos a calculadora HP 12C no estado BEG, ou seja, pagamentos antecipados, ela ajusta a fórmula vista no início dessa seção, para a fórmula acima, automaticamente.

Usando a simbologia adotada nas calculadoras HP 12C, a fórmula acima ficaria:

Exemplo:

Aplicando-se $200,00 por mês num fundo de renda fixa a uma taxa de 5% a.m. , pede-se calcular o montante ao final de 10 anos, sabendo-se que as aplicações são feitas sempre no início de cada mês.

Solução:

Aplicando-se diretamente a fórmula vista anteriormente, vem:
S = 200(1+ 0,05)[(1+ 0,05)120 – 1] / 0,05 = $ 1.461.230,34
Observe que 120 = 10 anos x 12 meses.

Usando a calculadora financeira HP 12C, teríamos:
g
BEG
200
CHS
PMT
5
i
120
n

FV
Aparecerá no visor, o valor calculado acima.

Paulo Marques, Feira de Santana – BA – 25/06/2000.

VOLTAR

CONTINUAR