Série de pagamentos II

Fator de formação de capital – FFC

O problema a resolver é o seguinte:

Determinar a quantia R a ser depositado em cada período, sendo i a taxa de juros por período, para que se obtenha no final dos períodos, o montante S. Vamos considerar dois casos: fluxo postecipado e fluxo antecipado.

Fluxo postecipado ----> (aquele cujos pagamentos ou recebimentos iniciam-se um período após a data zero do fluxo de caixa).

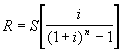
Da fórmula vista na lição anterior, deduzimos imediatamente que:

A fórmula acima é muito importante, por exemplo, para o planejamento de poupança, tabela price, etc.

Utilizando a simbologia da calculadora HP 12C, a fórmula acima ficaria:

Exemplo: Um investidor deseja resgatar $1.000.000,00 ao final de 10 anos, de um fundo de renda fixa que remunera o capital investido a 3% a .m. Determine quanto ele deverá depositar ao final de cada mês, para obter o montante desejado ao final dos 10 anos.

Solução: Substituindo os valores na fórmula, vem:

R = 1000000.[0,03/(1+0,03)120 – 1] = $889,92

Pela calculadora HP 12C:
1000000
FV

120
n
3
i
PMT

Aparecerá no visor, o valor –889,92 , com o sinal negativo, uma vez que pela convenção adotada na calculadora HP 12C, os valores pagos, são considerados negativos, conforme já vimos antes.

Fluxo antecipado ----> (aquele cujo início dos pagamentos ou recebimentos ocorre na data zero do fluxo de caixa).

Da fórmula vista no capítulo anterior, deduzimos imediatamente:

Exemplo: Um investidor deseja resgatar $1.000.000,00 ao final de 10 anos, de um fundo de renda fixa que remunera o capital investido a 3% a .m. Determine quanto ele deverá depositar no início de cada mês, para obter o montante desejado ao final dos 10 anos.

Solução:

Substituindo os valores na fórmula, vem:
R = 1000000. [1/(1+0,03)][0,03/(1+0,03)120 – 1] = $863,99

Pela calculadora HP 12C:
g
BEG
1000000
FV

120
n
3
i
PMT

Aparecerá no visor, o valor –863,99 , com o sinal negativo, uma vez que pela convenção adotada na calculadora HP 12C, os valores pagos, são considerados negativos, conforme já vimos anteriormente.

Paulo Marques – Feira de Santana, 01 de julho de 2000.

VOLTAR

CONTINUAR