|
Progressão Geométrica |
1 Definição
Entenderemos por progressão geométrica - PG - como qualquer seqüência de números reais ou complexos, onde cada termo a partir do segundo, é igual ao anterior, multiplicado por uma constante denominada razão.
Exemplos:
(1,2,4,8,16,32,
... ) PG de razão 2
(5,5,5,5,5,5,5, ... ) PG de razão
1
(100,50,25, ... ) PG de razão 1/2
(2,-6,18,-54,162,
...) PG de razão -3
2 - Fórmula do termo geral
Seja
a PG genérica: (a1, a2, a3,
a4, ... , a n, ... ) , onde a1
é o primeiro termo, e an é o n-ésimo
termo, ou seja, o termo de ordem n. Sendo q a razão da
PG, da definição podemos escrever:
a2 =
a1 . q
a3 = a2 . q = (a1
. q) . q = a1 . q2
a4 = a3
. q = (a1 . q2) . q = a1 .
q3
................................................
................................................
Infere-se
(deduz-se) que: an = a1
. qn-1 , que é denominada fórmula
do termo geral da PG.
Genericamente, poderemos escrever: aj
= ak . qj-k
Exemplos:
a)
Dada a PG (2,4,8,... ), pede-se calcular o décimo
termo.
Temos: a1 = 2, q = 4/2 = 8/4 = ... = 2. Para
calcular o décimo termo ou seja a10, vem pela
fórmula:
a10 = a1 . q9 = 2
. 29 = 2. 512 = 1024
b)
Sabe-se que o quarto termo de uma PG crescente é igual a 20 e
o oitavo termo é igual a 320. Qual a razão desta
PG?
Temos a4 = 20 e a8 = 320. Logo, podemos
escrever: a8 = a4 . q8-4 . Daí,
vem: 320 = 20.q4
Então q4 =16 e
portanto q = 2.
Nota:
Uma PG genérica de 3 termos, pode ser expressa como:
(x/q,
x, xq), onde q é a razão da PG.
3 - Propriedades principais
P1
- em toda PG, um termo é a média geométrica dos
termos imediatamente anterior e posterior.
Exemplo:
PG (A,B,C,D,E,F,G)
Temos então: B2 = A . C ; C2
= B . D ; D2 = C . E ; E2 = D . F etc.
P2
- o produto dos termos eqüidistantes dos extremos de uma PG é
constante.
Exemplo: PG (
A,B,C,D,E,F,G)
Temos então: A . G = B . F = C . E = D . D =
D2
4 - Soma dos n primeiros termos de uma PG
Seja
a PG (a1, a2, a3, a4, ...
, an , ...) . Para o cálculo da soma dos n
primeiros termos Sn ,
vamos considerar o que segue:
Sn = a1 + a2
+ a3 + a4 + ... + an-1 + an
Multiplicando
ambos os membros pela razão q vem:
Sn . q = a1
. q + a2 .q + .... + an-1 . q + an
.q .
Logo,
conforme a definição de PG, podemos reescrever a
expressão acima como:
Sn . q = a2 +
a3 + ... + an + an . q
Observe
que a2 + a3 + ... + an é
igual a Sn - a1 . Logo, substituindo, vem:
Sn
. q = Sn - a1 + an . q
Daí, simplificando convenientemente, chegaremos à seguinte fórmula da soma:

Se substituirmos a n = a1 . qn-1 , obteremos uma nova apresentação para a fórmula da soma, ou seja:

Exemplo:
Calcule
a soma dos 10 primeiros termos da PG (1,2,4,8,...)
Temos:

Observe que neste caso a1 = 1.
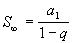
5 - Soma dos termos de uma PG decrescente e ilimitada
Considere uma PG ILIMITADA ( infinitos termos) e decrescente. Nestas condições, podemos considerar que no limite teremos an = 0. Substituindo na fórmula anterior, encontraremos:

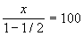
Exemplo:
Resolva a equação: x + x/2 + x/4 + x/8 + x/16 + ...
=100
Ora, o primeiro membro é uma PG de primeiro termo x e
razão 1/2. Logo, substituindo na fórmula, vem:

Daí, vem: x = 100 . 1/2 = 50
6 Exercícios resolvidos e propostos
6.1 - Se a soma dos tres primeiros termos de uma PG decrescente é 39 e o seu produto é 729 , então sendo a, b e c os tres primeiros termos , pede-se calcular o valor de a2 + b2 + c2 .
Solução:
Sendo
q a razão da PG, poderemos escrever a sua forma genérica:
(x/q, x, xq).
Como o produto dos 3 termos vale 729, vem:
x/q .
x . xq = 729 de onde concluímos que:
x3 = 729 =
36 = 33 . 33 = 93 , logo,
x = 9.
Portanto
a PG é do tipo: 9/q, 9, 9q
É dado que a soma dos 3
termos vale 39, logo:
9/q + 9 + 9q = 39 de onde vem: 9/q + 9q
30 = 0
Multiplicando
ambos os membros por q, fica:
9 + 9q2 30q = 0
Dividindo
por 3 e ordenando, fica:
3q2 10q + 3 = 0, que é
uma equação do segundo grau.
Resolvendo a equação
do segundo grau acima encontraremos q = 3 ou q = 1/3.
Como
é dito que a PG é decrescente, devemos considerar
apenas o valor
q = 1/3, já que para q = 3, a PG seria
crescente.
Portanto, a PG é:
9/q, 9, 9q, ou substituindo
o valor de q vem: 27, 9, 3.
O
problema pede a soma dos quadrados, logo:
a2 + b2
+ c2 = 272 + 92 + 32 =
729 + 81 + 9 = 819
6.2
- Sabe-se que S = 9 + 99 + 999 + 9999 + ... + 999...9 onde a última
parcela contém n algarismos. Nestas condições, o
valor de 10n+1 - 9(S + n) é:
A)
1
*B) 10
C) 100
D) -1
E)
-10
Solução:
Observe
que podemos escrever a soma S como:
S = (10 1) + (100
1) + (1000 1) + (10000 1) + ... + (10n
1)
S = (10 1) + (102 1) + (103
1) + (104 1) + ... + (10n
1)
Como existem n parcelas, observe que o número (
1) é somado n vezes,
resultando em n(-1) = - n.
Logo,
poderemos escrever:
S = (10 + 102 + 103 +
104 + ... + 10n ) n
Vamos
calcular a soma Sn = 10 + 102 + 103
+ 104 + ... + 10n , que é uma PG de
primeiro termo a1 = 10, razão q = 10 e último
termo an = 10n . Teremos:
Sn =
(an.q a1) / (q 1) = (10n
. 10 10) / (10 1) = (10n+1 10) /
9
Substituindo em S, vem:
S = [(10n+1 10) /
9] n
Deseja-se
calcular o valor de 10n+1 -
9(S + n)
Temos que S + n = [(10n+1
10) / 9] n + n = (10n+1 10) / 9
Substituindo
o valor de S + n encontrado acima, fica:
10n+1
9(S + n) = 10n+1 9(10n+1 10) / 9
= 10n+1 (10n+1 10) = 10
6.3
- O limite da expressão
onde x é positivo, quando o número de radicais aumenta
indefinidamente
é igual a:
A)
1/x
*B) x
C) 2x
D) n.x
E)
1978x
Solução:
Observe
que a expressão dada pode ser escrita como:
x1/2.
x1/4 . x1/8 . x1/16 . ... = x1/2
+ 1 / 4 + 1/8 + 1/16 + ...
O
expoente é a soma dos termos de uma PG infinita de primeiro
termo a1 = 1 /2 e
razão q = 1 /2. Logo, a soma
valerá: S = a1 / (1 q) = (1 /2) / 1
(1 /2) = 1
Então, x1/2 + 1 / 4 + 1/8 + 1/16 + ...
= x1 = x
6.4
- UEFS - Os números que expressam os ângulos de um
quadrilátero, estão em progressão geométrica
de razão 2. Um desses ângulos mede:
a)
28°
b) 32°
c) 36°
*d)
48°
e) 50°
Solução:
Seja
x o menor ângulo interno do quadrilátero em questão.
Como os ângulos estão em Progressão Geométrica
de razão 2, podemos escrever a PG de 4 termos:
( x, 2x,
4x, 8x ).
Ora, a soma dos ângulos internos de um
quadrilátero vale 360º . Logo,
x
+ 2x + 4x + 8x = 360º
15.x = 360º
Portanto,
x = 24º . Os ângulos
do quadrilátero são, portanto: 24º,
48º, 96º e 192º.
O problema pede um dos
ângulos. Logo, alternativa D.
Agora
resolva este:
Calcular
a razão de uma PG crescente, sabendo-se que o seu primeiro termo é
o dobro da razão e que a soma dos dois primeiros termos é
24.
Resposta:
3
Paulo Marques, Feira de Santana BA , 27/05/2000 editado em 23/09/2003.