Série de pagamentos IV Fator de recuperação de capital FRC
O problema a resolver é o seguinte:
Determinar a quantia R a ser depositada em cada período, sendo i a taxa de juros por período, para quitar um empréstimo P (valor principal). Vamos considerar dois casos: fluxo postecipado e fluxo antecipado.
Fluxo postecipado (pagamentos no final de cada período)
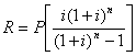
Da fórmula vista na lição anterior, deduzimos imediatamente que:
- o fator entre colchetes é denominado Fator de recuperação de capital - FRC(i,n).
- assim, teremos: R = P . FRC(i,n). Os valores de FRC(i,n) são tabelados.
Utilizando a simbologia da calculadora HP 12C, a fórmula acima ficaria:
Exemplo: Um empréstimo de $1544,35 deve ser pago em 10 prestações iguais. Pede-se calcular o valor de cada prestação sabendo-se que a taxa de juros é de 5% a.m. e que os pagamentos são feitos ao final de cada período.
Solução: Teremos imediatamente pela fórmula acima:
R = 1544,35{[0,05(1+0,05)10 ] / [(1+0,05)10 - 1]} = $200,00
Nota: 0,05 = 5% = 5/100
Pela calculadora HP 12C:tecle na seqüência:
1544,35
PV
10
n
5
i
PMT
Aparecerá no visor o valor (-200,00); o sinal negativo é uma mera convenção da HP 12C para valores pagos.
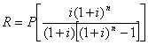
Fluxo antecipado (pagamentos no início de cada período)Da fórmula vista no capítulo anterior, deduzimos imediatamente:
Exemplo: Um empréstimo de $1621,56 deverá ser pago em 10 prestações mensais. Sabendo-se que a taxa de juros do financiamento é de 5% a.m. e que os pagamentos são efetuados no início de cada mês, pede-se calcular o valor de cada prestação.
Solução:Substituindo os valores na fórmula, vem:
R = 1621,56{[0,05(1+0,05)10 ] / [(1+0,05)[(1+0,05)10 - 1]} = $200,00
Pela calculadora HP 12C: tecle na seqüência:
g BEG
1621,56
PV
10
n
5
i
PMT
Aparecerá no visor o valor (-200,00); o sinal negativo é uma mera convenção da HP 12C para valores pagos.
Paulo Marques Feira de Santana, 01 de dezembro de 2003.