Fórmulas básicas do Cálculo Financeiro Composto (Juros Compostos)

Consideremos a seguinte simbologia:

i - taxa de juros por período
n - número de períodos
P - capital inicial , valor atual ou valor presente
S - capital no final do período n ou valor futuro
R - pagamentos periódicos

NOTAS:

a) a taxa de juros i deve sempre ser expressa em relação ao número de períodos n .

b) Exemplo: se i for 2% ao mês (2% a. m.), o número de períodos deve ser também expresso em meses; se i for 10% ao trimestre 10% a. t.), o número de períodos deve ser expresso em trimestres e assim sucessivamente.

c) Nas calculadoras financeiras - a HP 12C por exemplo - P é indicado pela tecla PV, que significa PRESENT VALUE (Valor presente), S é indicado pela tecla FV, que significa FUTURE VALUE (Valor Futuro) e R é indicado pela tecla PMT, que significa PAYMENT (Pagamento).

d) os pagamentos periódicos R ou PMT, podem ser feitos no início dos períodos ou no final dos períodos. Ao usar a calculadora HP12C para pagamentos efetuados no início dos períodos, deve-se informar isto à calculadora, teclando g BEGIN. (Begin = início, começo). Normalmente, as calculadoras estão no estado END ou seja, pagamentos efetuados no final dos períodos.

FÓRMULAS FUNDAMENTAIS:

1 - Conhecendo-se P, i e n, calcular S

2 - Conhecendo-se S, i e n, calcular P
Conseqüência imediata da fórmula anterior:

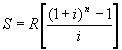
3 - Conhecendo-se R, i e n, determinar S

4 - Conhecendo-se R, i e n, determinar P
Conseqüência imediata da fórmula anterior.

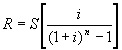
5 - Conhecendo-se S, i e n, determinar R

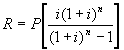
6 - Conhecendo P, i e n, determinar R


P
roblemas propostos


1 - Qual o montante acumulado a partir da aplicação de $2895,00 a 3,5% ao mês durante 3 anos e meio?
Resposta: $12277,70

2 - Investindo-se mensalmente $150,00 durante 6 anos e um trimestre, a 6% ao mês, qual o valor acumulado ao final do período?
Resposta: $198200,00

3 - Uma dívida de $1000,00 deve ser quitada em 12 parcelas mensais, à taxa de juros de 3% ao mês. Determine o valor de cada prestação.
Resposta: $100,50

4 - Quanto deveremos depositar trimestralmente numa conta que rende 6% ao trimestre, para termos $22800,00 ao final de 105 meses?
Resposta: $203,00


Feira de Santana, 12 de setembro de 1999 - Paulo Marques.

VOLTAR

CONTINUAR