Hipérbole Equilátera [... a singeleza ou a simplicidade da hipérbole equilátera].
1 INTRODUÇÃO
Vimos no capítulo anterior a equação da hipérbole cujo gráfico reproduzimos abaixo:
![]()
onde:
F1 e F2 = focos da hipérbole.
F1F2 = distância focal da hipérbole
A1 e A2 = vértices da hipérbole
A1A2 = eixo real ou eixo transverso da hipérbole
B1B2 = eixo não transverso ou eixo conjugado da hipérboleSendo P um ponto qualquer da hipérbole, vimos que a relação básica que a define é dada por:
½PF1 - PF2½= 2a , onde 2a é a distância entre os seus vértices.Da relação anterior, chegamos à equação reduzida da hipérbole, reproduzida a seguir:
onde b2 = c2 a2 , conforme ilustrado na figura acima, sendo:
a = medida do semi-eixo transverso da hipérbole
b = medida do semi-eixo não transverso da hipérbole
c = medida da semi-distância focal da hipérboleVimos no arquivo anterior que as assíntotas de uma hipérbole são as retas
y = (b/a).x e y = (- b/a).x2 DEFINIÇÃO
Chama-se HIPÉRBOLE EQUILÁTERA a toda hipérbole cujos semi-eixos de medidas a e b são iguais.
Assim, fazendo a = b na equação acima, obteremos:
De onde vem finalmente que:
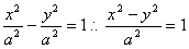
x2 y2 = a2
que é a equação reduzida de uma hipérbole equilátera.Veja a seguir, o gráfico de uma hipérbole equilátera x2 y2 = a2 referida ao plano cartesiano xOy:
As retas y = x e y = - x , são as assíntotas da hipérbole equilátera x2 y2 = a2 .NOTAS:
a) Observe que para a = 0, teríamos x2 y2 = 0 ou fatorando o primeiro membro:
(x y) . (x + y) = 0, de onde conclui-se:
x y = 0 OU x + y = 0, e, em conseqüência,
y = x OU y = -x
cujo gráfico é a reunião das retas y = x (bissetriz do primeiro e segundo quadrantes) e y = -x (bissetriz do segundo e quarto quadrantes), e, portanto não representa uma hipérbole.b) Já sabemos da aula anterior que a excentricidade de uma hipérbole é dada por e = c/a onde b2 = c2 a2 . Como nas hipérboles equiláteras, temos a = b, substituindo, vem imediatamente que c = Ö2 . a, de onde conclui-se que a excentricidade de uma hipérbole equilátera é igual a
e = c / a = Ö2a / a = Ö2c) Como na hipérbole equilátera os semi-eixos transverso e não transverso possuem a mesma medida, ou seja, a = b, concluímos que as suas assíntotas serão as retas y = (a/b).x = (a/a).x = x e y = (-b/a).x = (-a/a).x = - x , conclusão fundamentada na observação do item 1 acima.
Portanto, as assíntotas da hipérbole equilátera são as retas y = x e y = -x, que são retas perpendiculares, pois o produto dos seus coeficientes angulares é igual a -1.
Conclui-se pois, que as assíntotas da hipérbole equilátera, são retas perpendiculares entre si.d) Já sabemos do item (c) acima, que as assíntotas da hipérbole equilátera são as retas y = x ou y = -x , expressões equivalentes a y x = 0 ou y + x = 0.
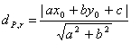
Já sabemos que a distância de um ponto P(x0 , y0) à uma reta r de equação ax + by + c = 0, é dada pela fórmula:
Concluímos então, que a distância de um ponto P(x, y) qualquer da hipérbole equilátera às assíntotas será dada por:
e respectivamente. Observe que os numeradores acima devem ser tomados em módulo, uma vez que referem-se a distâncias.
Se considerarmos dois novos eixos coordenados X e Y, coincidentes com as assíntotas x y = 0 e x + y = 0, as coordenadas do ponto P(x, y), passarão a ser P(X, Y), com:
e Voltando à equação reduzida da hipérbole equilátera, dada por x2 y2 = a2 (referida aos eixos coordenados Ox e Oy) e fatorando o primeiro membro, vem: (x y) . ( x + y) = a2 .
Podemos escrever a seguinte expressão equivalente a x2 y2 = a2 :
cuja veracidade é percebida facilmente, bastando efetuar o produto indicado no primeiro membro.Substituindo, vem finalmente:
X.Y = a2/2Fazendo a2/2 = K = constante, podemos escrever X.Y = K , que é a equação da hipérbole equilátera referida aos eixos y = x e y = -x, que são as assíntotas da hipérbole equilátera x2 y2 = a2
Portanto, em resumo podemos afirmar:
1 a equação da hipérbole equilátera referida aos eixos coordenados x e y é dada por x2 y2 = a2 . As assíntotas neste caso, são as retas y = x e y = - x.2 a equação da hipérbole equilátera referida às suas assíntotas x y = 0 e x + y = 0 é dada por
X.Y = a2/2 = K. As assíntotas neste caso, são os eixos coordenados Ox e Oy, ou seja, as retas y = 0 e x = 0, respectivamente.Veja a seguir, exemplo de gráfico da hipérbole equilátera x.y = k, com k > 0, onde os eixos coordenados Ox e Oy são as assíntotas.
Um exemplo prático de uma lei física cuja representação gráfica é uma hipérbole equilátera, é a lei de Boyle - Mariotte, estudada nos compêndios de Física e Química.
A lei de Boyle-Mariotte, estabelece que sob temperatura constante, o volume ocupado por uma certa massa de gás, é inversamente proporcional à pressão aplicada. Seja V o volume de um gás submetido a uma pressão P, a uma temperatura constante.
A lei de Boyle-Mariotte, estabelece que P.V = constante = k.
Por analogia com a equação X.Y = K, podemos concluir então, que o gráfico do volume V ocupado por um gás, em função da pressão aplicada P, será uma hipérbole equilátera.Paulo Marques, Feira de Santana - BA, 02 de junho de 2000 - editado em 23/7/2011.
VOLTAR
CONTINUAR