Trigonometria II

Funções trigonométricas: seno, cosseno , tangente, cotangente, secante e cossecante.

Considere a figura abaixo, onde está representado um círculo trigonométrico (centro na origem e raio unitário). 
Da simples observação da figura, temos os seguintes pontos notáveis: A(1;0) , B(0;1) , A’(-1;0) e B’(0;-1).

Definiremos os seguintes eixos:

A’A = eixo dos cossenos (variando no intervalo real de -1 a +1)
B’B = eixo dos senos (variando no intervalo real de -1 a +1)
AT = eixo das tangentes
® variando no intervalo real (-¥ , +¥ ).

 

 

 

 

 

 

Observe também que as coordenadas cartesianas do ponto U são:
 x0 = abscissa   e   y0 = ordenada, ou seja: U(x0 , y0).

Considere o arco trigonométrico AU de medida a. Nestas condições definimos:
1 - Seno do arco de medida a = ordenada do ponto U = y0  e indicamos:
sen a = y0 .
2 - Cosseno do arco de medida a = abscissa do ponto U = x0 e indicamos:
cos a = x0

Lembrando que o raio do círculo trigonométrico é igual a 1 (por definição), concluímos que o seno e o cosseno de um arco são números reais que variam no intervalo real de -1 a +1.

Da figura acima, podemos escrever: x02 + y02 = OU2; mas, OU = raio do círculo trigonométrico 
e portanto vale 1. 
Daí vem a seguinte relação entre o seno e o cosseno de um arco, já que x0 = cos a e y0 = sen a :
sen2a + cos2a = 1  , denominada relação fundamental da Trigonometria.

Observando ainda a figura acima e considerando os sinais das ordenadas e das abscissa ou seja, sinais do seno e do cosseno, podemos concluir que o seno é positivo para os arcos compreendidos entre 0º e 180º  (1º e 2º quadrantes) e negativo para os arcos compreendidos entre 180º e 360º (3º e 4º quadrantes).

Já para o cosseno, usando a mesma consideração anterior, concluímos que o cosseno é positivo para os arcos compreendidos entre 0º e 90º (1º quadrante) e para os arcos compreendidos entre 270º e 360º (4º quadrante) e,  negativo para os arcos compreendidos entre 90º e 180º (2º quadrante) e para os arcos compreendidos entre 180º e 270º (3º quadrante).

Valores notáveis do seno e cosseno:

sen 0º = sen 180º = cos 90º = cos 270º = 0
sen 90º = cos 0º = cos 360º = 1
sen 270º = cos 180º = -1

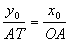
Ainda na figura anterior,
observe o segmento AT
O comprimento deste segmento, é por definição, a tangente do arco AU de medida a. 
Indicamos isto escrevendo tg a = AT. 
A escala adotada no eixo das tangentes é a mesma dos eixos das abscissa e das ordenadas.

Pela semelhança dos triângulos Ox0U e OAT, podemos escrever:

;
mas como y0 = sen a, x0 = cos a, AT = tg a e OA = 1, vem:


para cos a
¹ 0.

Nota: para saber o sinal da tangente nos 4 quadrantes, basta usar a regra de sinais da divisão, já que a tangente é simplesmente o quociente do seno pelo cosseno, cujos sinais nos quadrantes já conhecemos.
 
Somente como exemplo, como o seno e o cosseno são negativos no 3º quadrante, sendo a tangente o quociente entre eles, concluímos que neste quadrante, a tangente será positiva, pois menos dividido por menos dá mais!

Os inversos multiplicativos do seno, cosseno e tangente, recebem designações particulares a saber:

1 - inverso do seno = cossecante (símbolo: cossec)
2 - inverso do cosseno = secante (símbolo: sec)
3 - inverso da tangente = cotangente (símbolo: cotg )

Assim, sendo a um arco trigonométrico, poderemos escrever:


para sen a
¹ 0.


para cos a
¹ 0.


para sen a
¹ 0.

Exercícios Resolvidos

1. Qual o valor máximo da função y = 10 + 5 cos 20x ?

Solução: 
O valor máximo da função ocorre quando o fator cos20x é máximo, isto é, quando cos 20x = 1. Logo, o valor máximo da função será y = 10 + 5.1 = 15.

2. Qual o valor mínimo da função y = 3 + 5 sen 2x?

Solução: 
O valor mínimo da função ocorre quando o fator sen2x é mínimo, isto é, quando sen2x = -1. 
Logo, o valor mínimo da função será y = 3 + 5(-1) = - 2 .

3. Qual o valor máximo da função ?
Solução: 
A função terá valor máximo, quando o denominador tiver valor mínimo. Para que o denominador seja mínimo, deveremos ter cos 20x = 1
\
y = 10 / (6 - 2.1) = 10 / 4 = 5/2.
Portanto, o valor máximo da função é 5/2.

Qual seria o valor mínimo da mesma função?
Resposta: 5/4

4. Para que valores de m a equação sen 30x = m - 1 tem solução?

Solução: 
Ora, o seno de qualquer arco, é sempre um número real pertencente ao intervalo fechado [-1,1]. Logo, deveremos ter: -1
£ m -1 £ 1 \ 0 £ m £ 2.

Agora calcule:

a) o valor mínimo da função y = 2 + 9sen4x. 
b) o valor máximo da função y = 10 - cosx . 
c) o valor de y = sen 180º - cos270º 
d) o valor de y = cos 180º - sen 270º 
e) o valor de y = cos(360.k) + sen(360.k), para k inteiro. 

Respostas: a) - 7  b) 11  c) 0   d) 0  e) 1

Paulo Marques - Feira de Santana - BA, nos idos de 1997, com revisão em 30/09/06.

CONTINUAR
               VOLTAR