Exercícios de Análise Combinatória II

1 – Mostrar que 2.4.6.8. ... .(2n – 2).2n = n! . 2n

Solução:

O primeiro membro da igualdade pode ser escrito como:
2.1 . 2.2 . 2.3 . 2.4 . ... . 2.(n – 1) . 2.n
Observe que no produto acima, o fator 2 se repete n vezes; portanto, o produto de 2 por ele mesmo, 
n vezes, resulta na potência 2n.
Logo, o primeiro membro da igualdade fica:
2n(1 . 2 . 3 . 4 . ... . n)
Observe que entre parênteses, temos exatamente o fatorial de n ou seja: n!
Substituindo, vem finalmente : 2n . n!
Assim, mostramos que:
2.4.6.8. ... .2(n – 1). 2n = n! . 2n

Então, podemos dizer que: 
O produto dos n primeiros números pares positivos é igual ao fatorial de n multiplicado pela n - ésima potência de 2.

2 – Simplificar o número fracionário:

Solução:

Usando o resultado do problema anterior, poderemos escrever imediatamente:

Portanto, a expressão dada, quando simplificada, fica igual a 2 -(n+p).

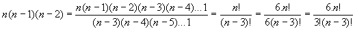
3 – Mostrar que, qualquer que seja o número inteiro n ³ 2, o produto n(n – 1) (n – 2) é um número divisível por 6.

Solução:

Vamos preparar a expressão dada, multiplicando-a e dividindo-a pelo mesmo valor conveniente, o que não altera o seu valor. Vem:

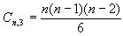
Mas, n! / 3!.(n-3)! = Cn,3 \ n(n – 1)(n – 2) = 6.Cn,3

Portanto, vem:

Como Cn,3 = número de combinações simples de n elementos tomados 3 a 3, é um número inteiro, concluímos que inevitavelmente o produto n(n – 1)(n – 2) é um número divisível por 6, para n ³ 2.
Nota: para n = 2, teremos 
n(n – 1)(n – 2) = 2.1.0 = 0, e zero é divisível por 6, pois 0/6 = 0.

Paulo Marques,  arquivo atualizado em 15/12/2000.

CONTINUAR

VOLTAR