Arrumando uma fila

De quantos modos diferentes podem ser dispostas em fila (p+q) pessoas sendo p homens de alturas todas diferentes e q mulheres também de alturas diferentes, de modo que, tanto no grupo dos homens como no das mulheres, as pessoas se sucedam em alturas crescentes?

Solução:

Supondo os p homens e as q mulheres ordenados segundo suas alturas crescentes, teremos ao todo (p+q) pessoas. Ordenando-se os p homens em p dos (p+q) lugares, as q mulheres ocuparão os q lugares restantes.

Ora, basta calcular então, o número de maneiras de preencher p lugares entre os (p+q) lugares existentes, isto é, determinar quantos subconjuntos de p elementos podem ser formados num conjunto de (p+q) elementos, com a condição de ordenamento crescente das alturas.

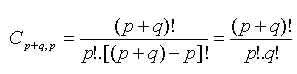
O número procurado será igual ao número de combinações possíveis de (p+q) elementos tomados p a p.

Logo:

Portanto, p homens e q mulheres podem ser dispostos em fila em ordem crescente de altura, de (p+q)! / p!.q! maneiras distintas.

Exemplo de verificação:

Considere três homens e duas mulheres, com as seguintes alturas em metros:

Pedro, com 1,76m = P
Rafael, com  1,77m = R
Eduardo, com 1,78m = E
Maria, com 1,75 m = M
Samantha, com 1,74m = S


Em termos de alturas temos:


E > R > P > M > S

Pela fórmula acima, o número de maneiras de dispor estas cinco pessoas em ordem crescente de altura, será igual a:

n = (3+2)! / 3!.2! = 5! /3!.2! = 120/12 = 10.

São as seguintes, as 10 disposições possíveis, considerando-se a ordem crescente de alturas:

01 – PREMS
02 – PRMES
03 – PRMSE
04 – MPRES
05 – MPRSE
06 – MPSRE
07 – PMRES
08 – PMRSE
09 – PMSRE
10 – MSPRE

Paulo Marques, Feira de Santana - BA - 29/06/2000.

CONTINUAR

VOLTAR