Raciocínio quantitativo - EAESP/FGV/99
Prova de Raciocínio quantitativo da EAESP / FGV /1999, com vinte questões.
1) Assinale a alternativa correta:
A) (a / b) + (r / s) = (a + r) / (b + s)
B) (1 / x) + (1 / y) = 1 / (x + y)
C) m / (m + n) = 1 / (1 + n)
D) x2 + x -2 = (x + x -1) 2 - 2
E) [(1/2) + (1/3)] / [2 - (1/6)] < 0,4Solução:
É imediato que a alternativa D é correta pois:
x2 + 1 / x2 = (x + 1/x)2 - 2 = x2 + 2. x . 1/x + 1/x2 - 2 = x2 + 1 / x2 para x diferente de zero.
Podemos observar que:
Alternativa A: a / b + r / s = (a s + r b) / b s
Alternativa B: (1 / x) + (1 / y) = (x + y) / x y
Alternativa C: m / (m + n) = (m/m) / [(m + n) / m] = 1 / [(1 + n / m)
Alternativa E: [(1 / 2 + 1 / 3) / (2 - 1 / 6)] = (5 / 6) / (11 / 6) = 5 / 11 = 0,4545...
Portanto, a alternativa correta é a letra D.
2) Em um país, a taxa de inflação acumulada em um ano foi de 80%. Se de janeiro a novembro (inclusive) a taxa acumulada de inflação foi de 72%, a taxa de inflação de dezembro foi aproximadamente de:
A) 8%
B) 4,7%
C) 5,3%
D) 6,8%
E) 7,2%Solução:
Sendo i a taxa de inflação por período, sabemos que a inflação acumulada em n períodos é igual a (1 + i)n - 1
Assim, teremos:
Em 1 ano (12 meses), a inflação total foi de 80%. Assim, podemos escrever:
0,80 = (1 + i)12 - 1 \ (1 + i )12 = 1,80
Esta igualdade pode ser escrita como: (1 + i).(1 + i)11 = 1,80
Em 11 meses - de janeiro a novembro - a inflação foi de 72%. Logo, podemos escrever:
0,72 = (1 + i)11 - 1 \ (1 + i)11 = 1,72
Logo, substituindo o valor de (1 + i)11 obtido acima, vem:
1,72(1 + i) = 1,80
Portanto, (1 + i) = 1,80/1,72 = 1,0465 \ i = 0,0465 = 4,65%Logo, a alternativa correta é a letra B.
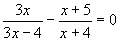
3) A raiz da equação
é um número:
A) natural
B) primo
C) inferior a (- 15)
D) superior a (0,7)
E) irracionalSolução:
Podemos escrever:
3x(x+4) = (3x-4)(x+5), já que o segundo membro é nulo.
Desenvolvendo e simplificando, vem:
3x2 + 12x = 3x2 + 15x - 4x - 20 \ x = -20.
Logo, a alternativa correta é a letra C, pois -20 é menor do que -15.4) Um vendedor recebe um salário fixo de R$1.200,00 mais 2% de comissão sobre as vendas do mês. Em média, a cada meia hora de trabalho ele vende R$200,00. Para ele receber uma remuneração total de R$2.720,00 num certo mês, ele deverá trabalhar x horas . O valor de x:
A) é menor que 195
B) está entre 195 e 205
C) está entre 205 e 215
D) está entre 215 e 225
E) é maior que 225Solução:
Podemos escrever: S = 1200 + 0,02V
2720 = 1200 + 0,02V \ V = 76000
Então podemos escrever a seguinte regra de três:0,5 h .......................200
x h .......................76000Logo, x = 190 horas
Portanto, a alternativa correta é a letra A .
5) O Sr. Macedo aplicou há um ano atrás R$100.000,00, sendo parte num fundo de renda fixa e parte em um fundo de ações. O fundo de renda fixa rendeu daquele momento até hoje 20%; mas, o fundo de ações teve no mesmo período um rendimento negativo igual a - 25%. Hoje o montante de suas aplicações é de R$105.000,00. Sendo F a quantia aplicada (em milhares de reais ) em renda fixa, podemos afirmar que:
A) F < 61
B) 61 < F < 62
C) 62 < F < 63
D) 63 < F < 64
E) F > 64Solução:
Sendo x o valor aplicado no fundo de renda fixa e y o valor aplicado no fundo de ações podemos escrever:
x + y = 100000
1,20x + 0,75y = 105000
Da primeira equação, vem: y = 100000 - x
Substituindo na segunda equação, vem:
1,20x + 0,75(100000 - x) = 105000
1,20x + 75000 - 0,75x = 105000
0,45x = 30000 \ x = 66666,67Como x representa o valor aplicado num fundo de renda fixa, vem imediatamente que a alternativa correta é a letra E, pois 66666,67 é maior do que 64000.
6) Com relação à questão anterior, se ele tivesse aplicado 80% do seu capital no fundo de renda fixa, seu montante hoje seria um valor:
A) inferior a R$105.000,00
B) entre R$105.000,00 e R$110.000,00
C) entre R$110.000,00 e R$115.000,00
D) entre R$115.000,00 e R$120.000,00
E) superior a R$120.000,00Solução:
É claro que nestas condições teríamos:
80000.1,20 + 0,75.20000 = 111000Portanto, a alternativa correta é a letra C.
7) Numa liquidação um comerciante vende um produto com 10% de desconto e mesmo assim ainda consegue uma margem de lucro igual a 20% de seu custo; cada unidade do produto custa R$500, então seu preço de venda p, antes de sofrer o desconto é tal que:
A) p < 660
B) 660 < p < 670
C) 670 < p < 680
D) 680 < p < 690
E) p > 690Solução:
Sendo o preço de custo igual a 500, vem:
500.1,20 = 600 = preço com desconto, já que o problema fala num lucro de 20% sobre o preço de custo.
Como o valor 600 corresponde ao preço com desconto de 10%, vem imediatamente que o preço sem desconto será dado pela seguinte regra de três simples:600 ................................... 90%
x ...................................... 100% \ x = 600.100/90 = 666,67.Portanto, a alternativa correta é a letra B.
8) A seleção de futebol de um país tem 11 jogadores, entre eles Alex; a idade média destes jogadores é de 26 anos. Se Alex for substituído por Júlio que tem 24 anos, a idade média do novo time passa a ser 25 anos. A idade de Alex é:
A) 34 anos
B) 35 anos
C) 36 anos
D) 37 anos
E) 38 anosSolução:
Sejam x1, x2, ... , x11 as idades dos 11 jogadores sendo x1 a idade de Alex.
Podemos escrever:
(x1 + x2 + ... + x11) / 11 = 26
Daí vem: x1 + x2 + x3 + ... + x11 = 11.26 = 286
Portanto, podemos escrever: (x2 + x3 + ... + x11 ) = 286 - x1
Sendo a idade de Júlio igual a 24 anos, podemos escrever:
(24 + x2 + x3 + ... + x11) / 11 = 25
Temos então: [24 + (x2 + x3 + ... + x11)] / 11 = 25
Logo, [24 + 286 - x1] / 11 = 25
Daí vem: 24 + 286 - x1 = 25.11
Logo, x1 = 24 + 286 - 25.11 = 24 + 286 - 275 = 35.Portanto, a alternativa correta é a letra B.
9) Uma loja vende determinado produto por x reais a unidade; nestas condições a quantidade mensal vendida y relaciona-se com o preço x através da fórmula:
y = 100 - 2x. O preço x que deve ser cobrado para dar uma receita mensal de 1.200 é igual a:
A) 10 ou 40
B) 15 ou 35
C) 20 ou 30
D) 5 ou 45
E) 27,5Solução:
Temos: y = 100 - 2x
Sendo R a receita, é óbvio que R = x y
Sendo R = 1200, vem: 1200 = x y
Substituindo o valor de y, vem:
x(100 - 2x) = 1200
100x - 2x2 - 1200 = 0
2x2 - 100x + 1200 = 0
x2 - 50x + 600 = 0
Resolvendo esta equação do segundo grau, vem x = 30 ou x = 20.Portanto, a alternativa correta é a letra C.
10) Um terreno tem um formato retangular com área de 300m2 e perímetro igual a 74m. A diferença entre o comprimento e a largura vale:
A) 12m
B) 13m
C) 14m
D) 15m
E) 16mSolução:
Sejam x e y as dimensões do retângulo. Teremos:
2(x + y) = 74
Justificativa: observe que o perímetro do retângulo sendo a soma das medidas dos seus lados, será igual a x + x + y + y = 2x + 2y = 2(x + y).
Temos então que x + y = 37.
Como a área de um retângulo é igual ao produto das medidas dos lados, vem que:
S = x y = 300Temos então o seguinte sistema:
x + y = 37
x y = 300
Tirando o valor de y na primeira equação, vem: y = 37 - x
Substituindo na segunda equação vem:
x(37 - x) = 300
37x - x2 - 300 = 0
x2 - 37x + 300 = 0Resolvendo a equação do segundo grau acima, obteremos: x = 25 ou x = 12.
Logo, a diferença procurada será igual a 25 - 12 = 13 cm.A alternativa correta é, portanto a letra B.
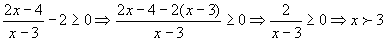
11) O menor número inteiro que satisfaz a inequação abaixo, é:
A) 1
B) 2
C) 3
D) 4
E) 5Solução:
Temos:
Para que o quociente seja positivo, deveremos ter necessariamente x > 3. Logo, o menor inteiro que satisfaz à inequação é 4. O que nos leva à alternativa D.12) O lucro anual de uma empresa é L = - x2 + 10x - 9 onde x é o preço por unidade do produto. Para que valores de x o lucro é superior a 12?
A) 1 < x < 6
B) 2 < x < 5
C) 6 < x < 10
D) 7 < x < 11
E) 3 < x < 7Solução:
O problema pede para quais valores de x teremos L > 12.
Logo, -x2 + 10x - 9 > 12
-x2 + 10x - 21 > 0 (multiplicando ambos os membros por -1 vem):
x2 - 10x + 21 < 0Consideremos o trinômio do primeiro membro, como sendo igual a y.
Vem: y = x2 - 10x + 21
As raízes deste trinômio são 7 e 3.Veja o gráfico abaixo:
Vemos facilmente que o trinômio é negativo para 3 < x < 7 , o que nos leva tranqüilamente à alternativa E.
13) Dois círculos concêntricos tem áreas cuja diferença é 20p cm2. A diferença entre os raios é de 2 cm. O raio do círculo maior vale:
A) 6cm
B) 5,5cm
C) 5cm
D) 4,8cm
E) 4,5cmSolução:
Como a área de um círculo de raio r é dada por S = p r2 , vem que:
p R2 - p r2 = 20 p \ R2 - r2 = 20 \ (R +r)(R- r) = 20, onde R é o raio do círculo maior e r é o raio do círculo menor.
Pelo enunciado devemos escrever : R - r = 2
Substituindo o valor de R - r = 2, vem:
2(R+ r) = 20 \ R + r = 10Ora, como R - r = 2
Somando membro a membro, fica 2R = 12 \ R = 6. Portanto, a alternativa correta é a letra A .14) Uma empresa produz um produto a um custo total de R$7.000,00 por mês, quando são produzidas 100 unidades; quando são produzidas 150 unidades o custo mensal é R$9.500,00. Admitindo que o custo seja uma função do primeiro grau da quantidade produzida, o custo de produção de 180 unidades por mês será:
A) R$11.000,00
B) R$11.200,00
C) R$11.400,00
D) R$11.600,00
E) R$11.800,00Solução:
Sendo C o custo e q a quantidade, podemos escrever pelo enunciado:
C = a q + b
Então:
7000 = 100 a + b
9500 = 150 a + b
Subtraindo as igualdades membro a membro, vem:
2500 = 50 a \ a = 50.
Substituindo o valor de a em uma das equações acima, obteremos b = 2000.Assim, a equação do custo é: C = 50q + 2000
Assim para q = 180 unidades, teremos:
C = 50.180 + 2000 = 11000 , o que nos leva à alternativa A .15) As retas ( r ) e ( s ) do plano cartesiano tem as seguintes equações:
( r ) 3x + 4y = 9
( s ) 2x - 7y = 5
O ponto de intersecção das retas tem ordenada igual a:
A) 1/11
B) 1/10
C) 2/21
D) 3/31
E) 3/29Solução:
Basta resolver o sistema formado pelas equações das retas:
3x + 4y = 9
2x - 7y = 5
A forma mais rápida para resolver o sistema acima é multiplicar ambos os membros da primeira equação por 2 e da segunda equação por -3, senão vejamos:
6x + 8y = 18
-6x + 21y = -15
Somando membro a membro, vem:
29y = 3 \ y = 29/3Logo, a alternativa correta é a letra E.
16) Uma aplicação financeira tem prazo de 3 meses, rende juros simples à taxa de 40% ao ano e paga um imposto de renda igual a 20% dos juros auferidos. Se o Sr. Geraldo pretende fazer esta aplicação e receber um montante líquido de R$21.600,00, qual o capital que deverá aplicar?
A) R$19.900,00
B) R$20.000,00
C) R$20.100,00
D) R$20.200,00
E) R$20.300,00Solução:
Sabemos que o montante M gerado por um capital P aplicado a juros simples durante n períodos à taxa i por período é dada por M = P(1 + in).
Teremos:
M = P(1+in) - 0,20J, onde J são os juros produzidos no período considerado.
Ora, os juros produzidos no período, serão iguais a J = Pin.
Portanto, M = P(1+in) - 0,20.Pin
Onde n = 3 meses e i = 40% a. a. = 40/100 = 0,40 a. a. = 0,40/12 a. m.
Logo,
21600 = P(1 + 3.0,40/12) - 0,20P.3.0,40/12
21600 = 1,10P - 0,02P
21600 = 1,08P
P = 20000Portanto, a alternativa correta é a letra B.
17) Durante quanto tempo um capital deve ser aplicado a juros simples, à taxa de 2,5% ao mês para que quadruplique?
A) 10 anos
B) 132 meses
C) 45 trimestres
D) 65 semestres
E) 28 quadrimestresSolução:
Como já sabemos que M - P(1 + i n), vem para M = 4P:
4P = P[1 + (2,5/100).n]
Resolvendo a equação acima, vem: n = 120 meses = 10 anos.Logo, alternativa A .
18) Em um grupo de 10 executivos, 4 tem título de pós-graduação. Sorteando-se duas pessoas deste grupo, a probabilidade de que ambas tenham pós-graduação é:
A) 5/42
B) 4/31
C) 3/25
D) 2/15
E) 1/8Solução:
Com os quatro pós-graduados, poderemos formar C4,2 grupos de dois elementos.
Com os 10 executivos, poderemos formar C10,2 grupos de 2 elementos.
Logo, a probabilidade procurada será:
P = C4,2 / C10,2
Teremos:
C4,2 = 4! / (4-2)! . 2! = (4.3.2.1) / (2.1.2.1) = 6
C10,2 = 10! /(10-2)!.2! = (10.9.8!) / (8!.2.1) =45
Então, a probabilidade procurada será igual a P = 6/45 = 2/15.Portanto a alternativa correta é a letra D.
19) Um avião levanta vôo sob ângulo de 30o em relação à linha do horizonte. Quando tiver percorrido 900m, sua distância em relação ao solo será:
A) 410m
B) 420m
C) 430m
D) 440m
E) 450mSolução:
Veja a figura abaixo:
Teremos: sen 30º = h / 900 \ h = 900 . sen30º = 900.1/2 = 450m
Portanto, a alternativa correta é a letra E.20) Numa liquidação uma loja ofereceu um desconto de 20% no preço de seus produtos; como este evento não aumentou suficientemente as vendas, foi dado um novo desconto de 15% sobre o valor já descontado. Estes dois descontos sucessivos equivalem a um único desconto de:
A) 35%
B) 34%
C) 33%
D) 32%
E) 31%Solução:
Seja x o preço inicial.
Primeiro desconto de 20% Þ 0,80x
Segundo desconto de 15% Þ 0,85(0.80x) = 0,68x
Logo, o desconto total foi igual a x - 0,68x = 0,32x = 32%.xEntão, a alternativa correta é a letra D.
Feira de Santana, 12 de setembro de 1999 - Paulo Marques.