Exercícios Resolvidos V


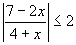
Resolver a seguinte inequação em R, conjunto dos números reais.



SOLUÇÃO:

Podemos escrever:


Observe que esta transformação algébrica somente foi possível devido ao fato do denominador ser um número positivo para x ¹ - 4. Lembre-se que o módulo é sempre positivo ou nulo.

Nestas condições, poderemos quadrar - elevar ao quadrado -  ambos os membros da desigualdade acima, obtendo:

49 - 28x + 4x2 £ 4(16 + 8x + x2)
49 – 28x + 4x2 £ 64 + 32x + 4x2
Cancelando os termos semelhantes 4x2 em ambos os membros, vem:
- 28x – 32x £ 64 - 49
- 60x £ 15

Multiplicando ambos os membros da desigualdade acima por –1, o sentido da desigualdade muda e teremos:

60x ³ - 15
x ³ -15/60
x ³ - ¼
Logo, o conjunto solução da inequação dada no Universo dos Números Reais será:
S = {xÎ R; x³ ¼} = [1/4, ¥ ) (intervalo real dos números maiores ou iguais a ¼).

Agora, coloco a seguinte questão: Se fosse dito no enunciado que o conjunto universo fosse o conjunto dos naturais, qual seria o conjunto solução da inequação dada?

Ora, já sabemos que x ³ ¼. Logo, em N = {0, 1, 2, 3, 4, 5, ...} = conjunto dos números naturais, teríamos que selecionar apenas as soluções que pertencem ao conjunto N. Teríamos, então:
S = {1,2,3,4,5,6,7, ...} = N* = N – {0}.

Lembrete: O conjunto solução (ou conjunto verdade) de uma equação ou inequação, depende do conjunto universo adotado. Assim é que, por exemplo, a equação 3x – 2 = 0, tem conjunto solução
S = {2/3} no universo R dos números reais, porém em N conjunto dos naturais ou Z conjunto dos inteiros (positivo, negativo ou nulo) o conjunto solução da mesma equação seria vazio ou seja

S = f (conjunto vazio, ou seja um conjunto sem elementos), pois 2/3=0,6666... não é natural, nem inteiro.

Perceberam?

É muito importante perceber isto!

Paulo Marques - Feira de Santana - BA - 02 de novembro de 1998


VOLTAR