Vestibular VI


1 - O valor de  para n = 1998 é igual a:

a)1995
b)1996
c)1997
d)1998
e)1999

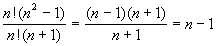
Solução:

Sabemos da Análise Combinatória que (n+1)! = 1.2.3.4. ... . n . (n+1) = n! . (n+1) . 
Daí, substituindo e simplificando, vem:

Logo, para n = 1998, a expressão vale: n - 1 = 1998 - 1 = 1997, e portanto, letra C.

2 - O número n dado por  é:

a) irracional
b) inteiro negativo
c) positivo e divisível por 5
d) divisível por 3
e) par

Solução:

Vamos elevar ao cubo ambos os membros? 
Esta é uma forma conveniente para começar a solução!


Lembrete: 
(A + B)3 = A3 + 3 A2B + 3 AB2 + B3 = A3 + B3 + 3 . AB (A + B)


Então, elevando ambos os membros ao cubo, fica:

Não entendeu o n
Olhe o n do enunciado do problema. Percebeu?

Simplificando a expressão acima, vem:

n
3 = 14 + 3.(- 1).n 
n 3 = 14 - 3n
n3 + 3n - 14 = 0

E agora? Uma equação do 3º grau! Calma! 
Observe que podemos adequa-la através dos seguintes artifícios algébricos:

Observando que -14 = - 6 - 8, vem substituindo:

n3 + 3n - 14 = n3 + 3n - 6 - 8 = 0

O objetivo dessa substituição é facilitar a fatoração do primeiro membro da equação.

Teremos, arrumando convenientemente:

n3 - 8 + 3n - 6 = 0

Lembrando que 8 = 23
, fica: 

n3 - 23 + 3(n - 2) = 0

Mas, sabemos que  a3 - b3 = (a - b) (a2 + a b + b2).

Logo, n3 - 23
= (n - 2)(n2 + 2n + 22)

Substituindo na equação, fica:

(n - 2)(n2 + 2n + 22) + 3(n - 2) = 0

Colocando n -2 em evidencia, vem:
(n - 2) (n2 + 2n + 4 + 3) = 0. 
Logo, (n - 2) . (n2 + 2n + 7) = 0

Já sabemos que se A . B = 0 então A = 0 ou B = 0.

Portanto, n - 2 = 0 ou n2 + 2n + 7 = 0
De n - 2 = 0, vem imediatamente  n = 2.

n2 + 2n + 7 = 0 é uma equação do segundo grau com coeficientes a = 1, b = 2 e c = 7.
O discriminante desta equação é b
2 - 4ac = 22 - 4.1.7 = 4 - 28 = - 24 < 0. 
Como o discriminante é negativo, a equação não possui raízes reais.
  
Logo, a única solução é n = 2, e portanto a alternativa correta é a de letra E, pois 2 é um número par.
Nota: entende-se por número par, todo número da forma 2k onde k é um número inteiro.
Assim, o conjunto dos números pares é P = {..., -4, -2, 0, 2, 4, 6, 8, 10, ...}.

Paulo Marques - Feira de Santana - BA - 02/03/2002 - arquivo revisado e ampliado em 24/05/2003.


VOLTAR