Exercícios Resolvidos XII


1 – Qual o domínio da função y = arccos[log2 (x - 1)]?

Solução:
Sabemos que se b = arccosa então a = cosb
Então podemos escrever: cosy = log2x
Sabemos também que o campo de variação do coseno é no intervalo [-1,1] e que só existe logaritmo de número real positivo. Logo, vem:
Condições de existência da função dada:
x - 1 > 0 \ x > 1.
-1 £ log2x £ 1
Aplicando log na base 2 na segunda expressão, fica:
- 1. log22 £ log2x £ 1. log22
log22-1 £ log2x £ log22
Como a função logarítmica com base maior do que 1 é crescente, podemos escrever:
2-1 £ x £ 2 ou 1/2 £ x £ 2
O domínio (ou campo de definição) da função dada será a interseção das duas condições ou seja:
1/ 2 £ x £ 2 e x > 1 Û 1 < x £ 2.
Podemos então concluir que o domínio da função dada é o intervalo:
D = (1, 2] = {x Î R; 1< x £ 2}
Observe que o único número inteiro que pertence ao domínio da função dada é o número 2.
Observe também que o domínio da função em R (conjunto dos números reais) é um conjunto infinito e, se considerarmos o domínio definido no conjunto Z dos números inteiros, o domínio da função passa a ser um conjunto unitário.

2 – Simplifique a expressão:
Y = 9 + 99 + 999 + 9999 + 9999...9 onde a última parcela possui n algarismos 9.

Solução:
Podemos escrever:
Y = (10 – 1) + (100 – 1) + (1000 – 1) + ... + (10n – 1)
Arrumando convenientemente, vem:
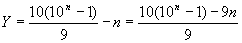
Y = 10 + 100 + 1000 + ... + 10n – n , onde n ι um nϊmero natural.
Não entendeu o (– n) ? Observe que –1 somado n vezes é igual a (- n).
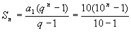
A soma dos n primeiros termos da progressão geométrica de razão dez , 10 + 100 + 1000 + ... + 10n será igual a:


Portanto, Y é igual a:


que é a expressão procurada.

Paulo Marques - Feira de Santana - BA, 12 de setembro de 2002


VOLTAR