Exercícios Resolvidos X


1 – Quantos são os números inteiros que satisfazem à inequação:



Solução:
Quadrando ambos os membros da desigualdade, vem:
9 £ x £ 49
Logo, x, que o problema diz que é inteiro, pode variar de 9 até 49.
Daí, vem a seguinte PA (progressão aritmética): 9, 10, 11, 12, ... , 49
Primeiro termo = a1 = 9
Último termo = an = 49
Sabemos que : an = a1 + (n -1).r, onde n é o número de termos e r é a razão, evidentemente igual à unidade.
Então. Substituindo os valores conhecidos, vem:
49 = 9 + (n – 1).1 \ 40 = n – 1 \ n = 41

Portanto, existem 41 números inteiros que satisfazem à inequação.
2 – Se x homens fazem x embrulhos em x segundos, em quantos segundos y homens farão y embrulhos?

Solução:

Trata-se de um problema de regra de três composta, cuja proporcionalidade direta ou inversa, está indicada abaixo pelos sentidos das flechas.
Nota: visite também o arquivo Cuidado com a regra de três.

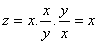
Seja z o tempo em segundos procurado:

Para calcular z , considerando a proporcionalidade indicada pelas flechas, basta calcular:


Portanto, a resposta é x segundos.
3 – A média aritmética de seis números é 4. Quando acrescentamos um sétimo número, a nova média é 5. Determine o número que foi acrescentado.

Solução:

Sejam x1, x2, ... , x6 os números dados. Teremos:
Daí, vem: x1 + x2 + ... + x6 = 6 . 4 = 24
Acrescentando um sétimo número, conforme dado do problema, vem:

Daí, vem: (x1 + x2 + x3 + ... + x6)+ x7 = 7 . 5 = 35
Substituindo o valor conhecido da soma de x1 a x6 que é igual a 24, vem:
24 + x7 = 35 \ x7 = 35 – 24 = 11
Portanto, o sétimo número é igual a 11.
Paulo Marques - Feira de Santana - BA, 07 de setembro de 2002

VOLTAR