Um expoente no Colégio Naval em 1997

Considere as igualdades abaixo:

 

O valor de 4x2 - 3y2 é:
A) 0
B) 1
C) 2
D) 3
E) 4

Nota: Questão do Colégio Naval – 1997.

Solução:

Vamos inicialmente recorrer ao produto notável
(a + b) (a – b) = a2 – b2

Observe que segundo a igualdade do produto notável acima, poderemos escrever:
(2 +
Ö 3) (2 – Ö 3) = 22 – (Ö 3)2 = 4 – 3 = 1

Então, é fácil concluir que 2 –
Ö 3 = 1/ (2 + Ö 3)
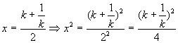
Fazendo
(2 + Ö 3)1997 = k , poderemos inferir que:

(2 – Ö 3)1997 = [1 / (2 + Ö 3)]1997 = 11997 / (2 + Ö 3)]1997 = 1 / (2 + Ö 3)]1997 = 1 / k

Substituindo em x e y acima, teremos:





Então,
b = 4x2 – 3y2 = [k+(1/k)2] – [k-(1/k)2]= k2 + 2 + (1/k)2 – (k2 – 2 + (1/k)2
Nota: a passagem acima justifica-se pelos seguintes e tradicionais produtos notáveis:
(A ± B)2 = A2 ± 2.A.B + B2 , para todo A e B, ou seja: "o quadrado de uma soma (ou diferença) de dois termos é igual ao quadrado do primeiro, mais (ou menos) o dobro do produto do primeiro pelo segundo, mais o quadrado do segundo".

Logo, efetuando as operações indicadas no segundo membro acima (em negrito), fica:

b = k2 + 2 + (1 / k)2 – k2 + 2 – (1 / k)2

Cancelando os termos opostos (simétricos) k2 e -k2 e também
(1 / k)2 e -(1 / k)2 , resulta finalmente: b = 4, o que nos leva tranquilamente à alternativa E.

Paulo Marques – 07/09/2002 – Feira de Santana – BA - editado e ampliado em 18/03/11.

VOLTAR